¿Qué es la Inteligencia Artificial Generativa?
La Inteligencia Artificial Generativa es aquella que está destinada a crear nuevos contenidos, como por ejemplo podrían ser textos, imagenes, vídeos, códigos etc. Basándose en aprendizajes anteriores. Por lo que estas nuevas creaciones pueden ser muy útiles para la industria del entretenimiento, publicidad, salud, metaversos etc.
Tipos de algoritmos se emplean para la IA Generativa
Actualmente la mayoría de programas que emplean esta técnica, utilizan redes neuronales, lo que conlleva a un gran coste de hardware (Tarjetas gráficas) y coste energético, con su correspondiente contaminación.
- Generative Adversarial Network (GAN): se emplean dos redes neuronales diferentes, una para crear los nuevos contenidos y la otra para determinar la calidad de este contenido. Las mayores desventajas de este tipo de redes, es que requieren de un entrenamiento muy sensible y que pueden generar resultados muy parecidos a otros creados con anterioridad. Implementaciones: DCGAN, ProGAN, BigGAN y StyleGAN
- Transformer: se suele emplear para la generación de textos y traducciones. Emplea técnicas de probabilidad para elegir la palabra o “dato”, más correcto para generar en un orden determinado. También se puede utilizar para el reconocimiento de voz y reconocimiento de imágenes. Su mayor desventaja, es que es uno de los algoritmos que más hardware necesitan. Implementadiones: BERT y GPT
- Diffusion Models: Es una clase de vanguardia de modelos generativos basado en la probabilidad, que demuestra resultados de última generación en el campo de la visión artificial. Funciona corrompiendo progresivamente los datos con perturbaciones de ruido de múltiples niveles y luego aprendiendo para invertir este proceso para la generación de muestras. Generan imagenes apartir del Ruido Gausiano, se usan las cadenas de Markov.
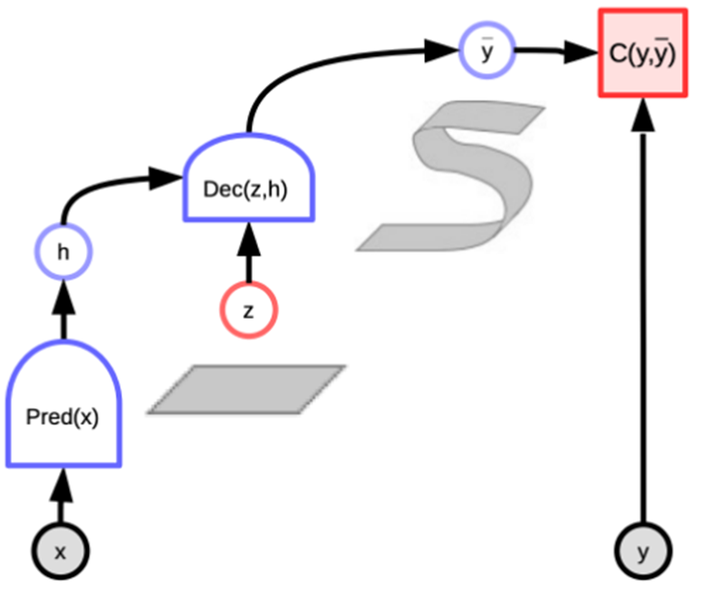
- Variational Autoencoders: Siguiendo la inferencia bayesiana variacional, los autocodificadores variacionales (VAE) son modelos generativos que intentan reflejar los datos en una distribución probabilística y aprender la reconstrucción que es cerca de su entrada original.
- Normalizing flows: Es una transformación de distribución de simple a complejo por una secuencia de aplicaciones invertibles y diferenciables.
- Energy Based Models: Un EBM aprende las características de un conjunto de datos de destino y genera un conjunto de datos similar pero más grande. Los EBM detectan las variables latentes de un conjunto de datos y generan nuevos conjuntos de datos con una distribución similar.
- RNN y LSTM: Estos modelos generaron datos secuenciales como speech y series temporales.
Quiero añadir a esta lista, algunos algoritmos de Machine Learning, sin la necesidad de redes neuronales, que se pueden emplear para la IA generativa. Ya que no todo el mundo tiene los recursos de hardware suficientes, gasto energético o presupuesto para ello.
- Modelos Ocultos de Markov: Con este algoritmo se calcula si el próximo dato a sacar, tiene una determinada coherencia y con ello su resultado final. Digamos que es similar a la técnica de Transformer, pero menos avanzada. Sin embargo, es más sencillo de entrenar y se puede utilizar con ordenadores menos potentes. Su mayor desventaja es su dificultad de comprender el contexto, por lo que es más eficaz para la generación de pequeños textos o datos más simples. Como podrían ser frases, descripciones de productos, mensajes, etc.
- Modelos de mezcla de distribuciones gaussianas: este algoritmo basado en probabilidad, emplea el teorema de Bayes, el algoritmo de expectativa-maximización y la probabilidad gaussiana. Se puede emplear para generar imágenes, textos y voz artificial. Se trata de un algoritmo más complejo que el de Modelos Ocultos de Markov y sus contenidos generados son más diversos, por lo que esta es una de sus mayores ventajas.
Modelos unimodales y multimodales
Modelos unimodales
Estos modelos están diseñados para aceptar una modalidad específica de datos sin procesar como entrada, como texto o imágenes, y luego generar predicciones en la misma modalidad que la entrada. Discutiremos algunos de los más prometedores enfoques y técnicas utilizados en estos modelos, incluidos modelos de lenguaje generativo, por ejemplo, GPT3, BART, T5 , y modelos de visión generativa, por ejemplo, GAN, VAE y normalización flujo.
Modelos Multimodales
La generación multimodal es aprender un modelo que genera modalidades aprendiendo la conexión multimodal e interacción a partir de datos. Esta conexión e interacción entre modalidades a veces puede ser muy intrincado, lo que hace que el espacio de representación multimodal sea difícil de aprender en comparación con el unimodal. Los modelos multimodales de última generación en generación de lenguaje de visión, generación de audio de texto, generación de gráficos de texto y generación de código de texto. Dado que la mayoría de los modelos generativos multimodales siempre están muy relacionados con las aplicaciones del mundo real.
Que más contenido genera:
Ademas de las tareas de procesamiento de lenguaje natural y vision artificial hay otras tareas que la IA puede generar:
ChatBot: Puede generar preguntas y repuestas (chatGPT, Benderbot)
Arte: Genera imagenes subrealistas (Stable diffusion, Dalle-2)
Code: Puede generar codigo de programacion basado en instrucciones y como autocompletado(Codex, Copilot)
Ciencia: Plegamiento y prediccion de proteinas (Alpha Fold)
Especificamente:
- Estudiar enfermedades con datos sintéticos: un ejemplo es la empresa de Syntegra, que está desarrollando datos sintéticos con IA Generativa, de forma que se pueden investigar el comportamiento de los fármacos con determinados pacientes, sin la necesidad de utilizar a pacientes reales (Entre más utilidades que pueden ofrecer)
- Cantantes y música artificial: uno de los proyectos más pioneros es el de MusicLM, que es capaz de generar música a partir de órdenes a través de texto, como por ejemplo: “toca una canción de guitarra con flamenco” o crear música en base a las características de una imagen, por ejemplo, para la música de un museo en una sala con un determinado cuadro.
- Mapas de videojuegos: la empresa de NVIDIA, ya ha desarrollado IA generativa para crear mapas de videojuegos o por ejemplo, carreteras virtuales para entrenar sistemas de conducción autónoma, en diversos escenarios.
- Simulaciones de escenarios económicos: algunas empresas financieras, ya están empleando la IA generativa para simular como actuarían algunos valores a determinados sucesos. También para detectar fraude y aumentar la seguridad bancaria, como por ejemplo la empresa de Syntho AI.
¿Qué desventajas tiene la Inteligencia Artificial Generativa?
La Inteligencia Artificial generativa está aportando un gran desarrollo a la sociedad, sin embargo, también está creando algunas desventajas y argumentos en contra.
- Contenido basura: Debido a dataset de baja calidad
- Disminución del pensamiento creativo:Puede provocar que la gente ya no quiera aprender a mejorar sus habilidades con herramientas de diseño, escritura, composición de música y otras formas de creatividad.
- Contaminación: los proyectos ambiciosos de la IA generativa, son capaces de contaminar mucho más de lo que la mayoría de gente se piensa. Incluso más que algunos países en su totalidad.
- Paradigma laboral: mientras que para algunos perfiles muy técnicos les viene muy bien o incluso a países que han invertido mucho en tecnología, como Israel que consiguen una gran ventaja competitiva. A otros habitantes de todo el mundo, puede provocarles un gran desempleo y falta de recursos económicos.
- Plagio: por la razón de crear contenidos iguales a diferentes usuarios o muy similares a los datos con los que fueron entrenados.
Pienso que gracias a la Inteligencia Artificial Generativa, la sociedad va a evolucionar muchísimo. Dando un gran salto tecnológico. Ya que muchas herramientas tecnológicas que se tardaban años en desarrollar, puede que incluso se puedan hacer en meses. También pienso que económicamente va a cambiar mucho las cosas, tanto a nivel corporativo como laboral. El ingenio y la creatividad van a ser una de las cosas más relevantes, de cara a sacarle provecho a este tipo de sistemas.
sourse:
